MAHKEME İLANLARI
okuma süresi: 1 dak.

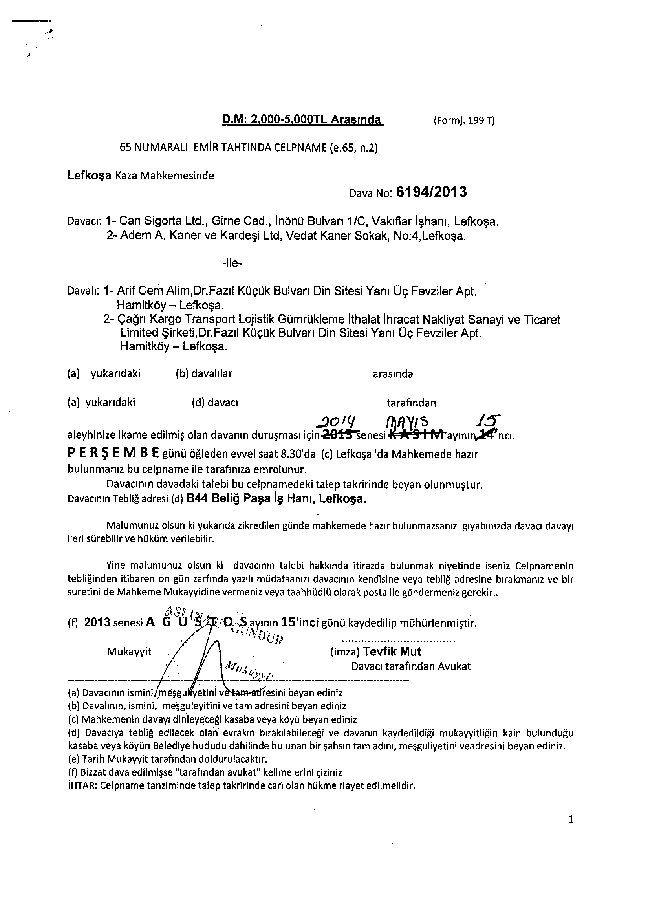
Lefkoşa Kaza Mahkemesi - Celpname - Dava No: 6194/13 - 16 Nisan 2014

Lefkoşa Kaza Mahkemesi - Celpname - Dava No: 6194/13 - 16 Nisan 2014

16 Nisan 2014 Lefkoşa Kaza Mahkemesi Celpnamesi.

Yayın Tarihi: 06/05/14 10:20
okuma süresi: 1 dak.
Lefkoşa Kaza Mahkemesi - Celpname - Dava No: 6194/13 - 16 Nisan 2014
A- A A+
#mesajınızvar
Levent ÖZADAM'dan
#mesajınızvar
Gözden Kaçmadı
#gozdenkacmadi

En güncel gelişmelerden hemen haberdar olmak için

Yorumlar

Dikkat!
Suç teşkil edecek, yasadışı, tehditkar, rahatsız edici, hakaret ve küfür içeren, aşağılayıcı, küçük düşürücü, kaba, müstehcen, ahlaka aykırı, kişilik haklarına zarar verici ya da benzeri niteliklerde içeriklerden doğan her türlü mali, hukuki, cezai, idari sorumluluk içeriği gönderen Üye/Üyeler’e aittir.

Diğer MAHKEME İLANLARI Haberleri